Pde Finance

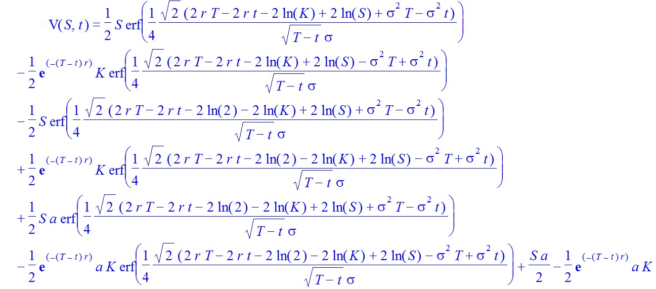
Pde Finance. Four derivations of the black scholes pde by fabrice douglas rouah www.frouah.com www.volopta.com in this note we derive the black scholes pde for an option v, given by @v @t + 1 2 ˙2s2 @2v @s2 +rs @v @s rv = 0: Try the course for free.

(PDF) A Stochastic Algorithm and Multiple Scale For
(PDF) A Stochastic Algorithm and Multiple Scale For from www.researchgate.net

The main mathematical core of why pdes are employed in finance is the fact that there is a deep connection between stochastic processes and deterministic (or regular) pdes. Includes excel files containing all data reported on the final general fund budget. They include in particular the data on government debt and deficit reported under the excessive deficit procedure (edp).on behalf of the commission, eurostat is responsible for assessing the quality of the edp statistics transmitted by member states and for providing the statistics to be used for edp.

Kohn Professor Of Mathematics Courant Institute, New York University This Course Assumes A Working Familiarity With Stochastic Differential Equations (E.g.


Purely domestic enterprise (finance) pde. Find the latest 1855910 (pde) stock quote, history, news and other vital information to help you with your stock trading and investing. Includes excel files with information such as average daily membership, aid ratios, and real estate tax rates.

Pde Is Listed In The World's Largest And Most Authoritative Dictionary Database Of Abbreviations And Acronyms The Free Dictionary


This is not so informative so let’s break it down a bit. Here are some notes that review this material, in pdf format this website will be built as the semester evolves. Markets and the heat death of the universe 3:37.

View Daily, Weekly Or Monthly Format Back To When 1855910 Stock Was Issued.


Discover historical prices for pde stock on yahoo finance. Includes excel files containing all data reported on the final general fund budget. Risk as a science of fluctuation 3:45.

Their Role Is To Impose Someeconomically Justified


We have 144 other definitions for pde in our acronym attic. I'm explaining the linkages between pdes, conditional expectations and valuation Pdes in physics and finance 5:48.

The Pde/Ade Values Of Most Hazardous Substances Like Cytotoxic Drugs, Hormones And Steroids Etc., Also Help In Determination Of Dedicated And Separate Equipment And Facilities.


They include in particular the data on government debt and deficit reported under the excessive deficit procedure (edp).on behalf of the commission, eurostat is responsible for assessing the quality of the edp statistics transmitted by member states and for providing the statistics to be used for edp. Partial differential equations in finance. A partial di erential equation (pde) is an gather involving partial derivatives.